色差仪在测量颜色时,常用的是CIELab色空间,用色差宝可以测定任何一种颜色的L*、a*、b*值,根据所测的L*、a*、b*值可以判断不同颜色的差别。另外,色差仪还可以同时测出色饱和度c和色调角h。那么,色差仪L、a、b、c、h值什么意思?有什么关系?本文对此做了分析。

L*:表示颜色的明亮程度,取值范围是0-100,0代表黑色,100代表白色。L值越大,颜色越浅;L值越小,颜色越深。L*值域由0到100,L=50时,就相当于50%的黑。在颜色对比和质量控制中,L值是判断颜色明暗的重要依据。
a*:表示颜色的红绿程度,表示颜色在红绿色轴上的位置。正数表示偏向红色,负数表示偏向绿色。绝对值越大,表示颜色与红绿色轴的距离越大,颜色越鲜艳。在色彩分析中,a值可用于量化颜色在红绿色调方面的特征。
b*:表示颜色的黄蓝程度,b颜色在黄蓝色轴上的位置。b值为正数时表示颜色偏黄,数值越大黄色的成分越多;b值为负数时表示颜色偏蓝,绝对值越大蓝色的成分越显著。b值在描述颜色的色调和进行颜色匹配时非常关键。
c*:表示彩度值,即饱和度,是描述色彩离开相同明度中性灰色程度的色彩感觉属性,是主观心理量。c*值越大,颜色越鲜艳、浓烈,越接近纯色;c*值越小,颜色越接近灰色,饱和度越低。c*是由色度决定来体现颜色鲜艳程度的值,数值越大说明物体颜色越鲜艳即饱和度越高,反之则越暗淡。
h*:表示色相即色调,是指能够比较确切地表示某种颜色色调的名称。色彩的成分越多,其色相越不鲜明。通常规定0°(或360°)表示红色,90°表示黄色,180°表示绿色,270°表示蓝色等。在颜色分类和描述中,h值是确定颜色基本色调的关键指标。
CIEL*a*b*色空间是由纵坐标L*、水平的a*和b*轴构成的三维立体坐标系,纵坐标轴L*表示明度,值越大样品的明度值越高,取值范围为0~100,纯黑位于最下端,对应明度L*=0;纯白色最亮,位于最上端,对应明度L*=100。a*和b*是色度坐标,正负值代表颜色的方向,+a*表示红色方向,值越大红色饱和度越高,-a*代表绿色方向,绝对值越大代表绿色越鲜艳,a*值范围为-128~127:+b*为黄色方向,值越大黄色越鲜艳,-b*为蓝色方向,绝对值越大表示蓝色饱和度越高,b*值范围为-128~127。
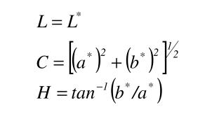
CIEL*c*h*颜色空间是CIEL*a*b*色空间的极坐标表示法,由L、c、h表示。纵坐标L*值同样对应于颜色三要素的明度,c*代表彩度,即某一颜色的坐标位置与原点的距离,圆心处颜色的饱和度c*值为0,离圆心越远C*的值越大;h*为色调,h*代表色调角,是某一颜色坐标在色品平面内的投影点和坐标原点的连线与a轴的夹角。规定h*从正a轴(红)开始为0°,逆时针为正,正b轴(黄)为90°,负a轴(绿)为180°,负b轴(蓝)为270°。彩度值C和色调角h均可由CIELab色空间中的坐标计算得出。其转换关系如下:

在线下单
顺丰上门取件
提交订单
上门快递