CIE标准色度系统是CIE规定一套颜色测量原理、数据和计算方法,这些系统是色度学的基础,是基于任何一种颜色都能被三原色按比例混合而成的假设所形成的。色差仪是以CIE标准色度系统为基础研制的光学仪器,其内部配置了多种类型的测色系统。下文介绍了四中常用的CIE标准色度系统及它们之间的转换方法。

物体颜色的定量度量是很复杂的,它涉及到光学、视觉生理学、视觉心理学和心理物理学等方面的许多问题,为了能够得到一致的度量结果,国际照明委员会CIE规定了一套标准色度系统,称为CIE标准色度系统:包括CIE1931标准色度系统、CIE1964补充标准色度系统、CIE1976标准色度系统。CIE色度系统是近代色度学的基本组成部分,它是一种混色系统,是基于每一种颜色都能用三个选定的原色按适当比例混合而成的基本事实建立起来的。
1.在CIE1931RGB系统中其三刺激值与色品坐标值转换公式如下:

2.在色度计算中,一般使用CIE标准色度系统,下面给出CIE1931RGB与CIE标准色度系统中三刺激值的转换公式:

3.在CIE标准色度系统中,其三刺激值与色品坐标的转换公式如下:

这里,X、Z两个原色仅代表了色度,并没有代表亮度,其光度量只与三刺激值Y成比例。
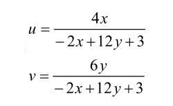
4.CIE1960UCS常用来计算相关色温的色品图,下面我们给出CIE1960UCS与CIE1931xy之间的关系:

也可以用用三刺激值表示u、v的关系式如下:

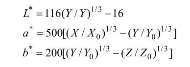
5.CIE1976LAB由CIE1931XYZ系统之间转换关系:

其中X、Y、Z为三刺激值;X0、Y0、Z0为CIE标准照明体的三刺激值;L*表示心理明度;a*和b*为心理色度。
在线下单
顺丰上门取件
提交订单
上门快递