纺织色差是纺织行业质量管控中一项重要的指标,要想对纺织色差进行量化的分析,就可以使用纺织色差仪测量,并经过纺织色差公式计算得到。本文对纺织色差计算典型色差计算公式CMC做了介绍。

色差是定量表示的色觉差,用△E表示。国际照明委员会CIE负责研究和开发国际颜色标准,而建立色差公式为色彩行业提供判断物体颜色质量的标准是CIE最重要的任务之一。在现有的均匀颜色空间中,不同的颜色区域中相同的空间距离所代表的色差不相同。为此,研究人员根据不同的应用领域和不同的处理对象提出了几十种色差公式或修改方案。目前,所有CIE推荐的改进型色差公式均是在CIELAB色差公式的基础上改进,如CMC色差公式、CIE94色差公式等。
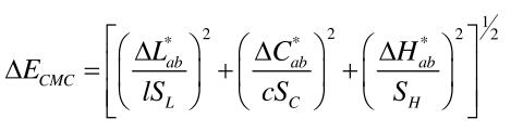
CMC是英国颜色测量委员会的缩写,1988年CMC色差公式被英国推荐为英国国家标准,广泛应用于纺织行业及其他工业。在修正CIELAB色差公式的基础上,CMC色差公式根据视觉关系调整了每个色调方向的色差椭圆大小和形状;改善了彩度差变化与明度之间的关系,使不同彩度的颜色具有不同的色差容限。非彩色区域附近的椭圆较小,彩度高的椭圆较大,色差容限与彩度的变化成正比。CMC色差公式为如下形式:

其中,△L*ab、△H*ab和△C*ab,为CIELAB确定的明度差、彩度差和色调差;SL、SC和 SH分别为明度、彩度和色调的权重函数;明度权重因子l和彩度权重因子c与具体应用条件有关,一般情况下c=1。在纺织业中,当l=2时用CMC色差公式计算得到的纺织品色差与视觉感觉相对一致。对于涂料、塑料和油墨等应用,取l=1.4。
CMC色差公式实际上是一个三维空间中的椭球公式,也就是说,用以目标色样的坐标点为中心的一个椭球来表示色差,椭球的大小与样品颜色同目标色的差别有关,也与具体的颜色区域有关,在不同的颜色区域用不同大小和取向的椭球来表示色差。这种计算色差的方式已经被CIE确定为今后发展色差公式的一种标准形式,主要的研究重点是如何确定公式中的系数。
在线下单
顺丰上门取件
提交订单
上门快递