RGB颜色空间是颜色量化中常用的颜色空间,被称为三基色颜色空间,许多的颜色空间都是在该颜色空间的基础上发展起来的,且其与CIEXYZ、CIELab等颜色空间存在一定的转换关系。本文对RGB颜色空间色差公式及与CMYK颜色空间转换关系做了介绍。

RGB颜色空间以红(R)、绿(G)和蓝(B)三种基本颜色为基础,三种颜色进行不同程度的叠加,能够产生丰富的颜色,因此 RGB颜色空间又被称为三基色模型。在该模型中,R、G、B分别位于3个角上,黑色位于原点处,白色位于离远点最远的对角点处,灰度级沿着这两点的连线分布。在该模型中,不同的颜色处在立方体上或者在其内部,并且可以用从原点分布的向量来定义。即每一种颜色可以用红、绿、蓝三个颜色分量的坐标来表示。假定标准颜色与指点颜色在颜色空间中的坐标值分别为(R0,G0,B0)与(R1,G1,B1),两种颜色的色差可以通过下式进行计算:

可以看出,这是通过计算两个颜色的空间距离得到色差的。但是这种计算是基于RGB颜色空间是一个均匀颜色空间的前提,换句话说,每个颜色的等色差颜色是一个球面,且不同位置的等色差颜色具有相同的差异,然而RGB颜色空间是一个非均匀的颜色空间,并不具备此前提。这样计算出的色差结果没有说服力,与人的视觉感知不相符合。于是相关人员就试图通过加权的方式解决这个问题。

式中的ωr,ωg,ωb为加权系数,但是不同的图像加权系数是不一样的,这就给实际的应用带来了很大的麻烦。
RGB颜色空间向CMYK颜色空间的转换,从理论上讲,由于CMY是RGB的补色,当RGB转换成CMY时,CMYK值可通过下列公式计算:

式中,C、M、Y、色料三原色的量,用百分比表示;R、G、B为色光三原色转换为百分比的量。如某一RGB颜色R=235,G=173,B=137,转换成百分比后R=92.16、G=67.84、B=53.73,转换成CMY后C=7.84%、M=32.16%、Y=46.27%。
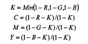
CMYK颜色空间至RGB颜色空间的转换公式为:

式中RGB值计算出来为百分比含量,还要转化为0~255的值,如某一色卡由上式计算出来R=92.16%,G=67.84%,B=53.73%,则RGB空间值为R=235,G=173,B=137。
在线下单
顺丰上门取件
提交订单
上门快递