色度学为了对颜色差异进行量化的描述,先后推出了多种类型的色差公式。CIELab色差公式是使用最为广泛的一个色差公式,该色差公式是以CIELab颜色空间为基础的,因此其在进行色差值计算时,会有不同的形式。本文对色差公式的发展及CIELab色差公式两种形式做了介绍。

CIE1931XYZ色度系统是个不均匀的颜色空间,解决色差度量的问题就是寻找一个均匀颜色空间,在这个空间内,两点的距离正比于视觉上颜色的差异,即色差的大小。以后,许多学者提出了许多色差评价公式。CIE在1976年在总结各位学者工作的基础上,推荐了L*u*v*和L*a*b*两种色差公式,目前已为各国所采用。
从CIELAB色差公式出发,可以推导出CMC、CIE94、DIN99、CIEDE2000 等色差公式,所有学者建立的均匀色空间中的参数,都与CIE色度系统的三刺激值或色品坐标用数学公式联系起来,只是公式形式不同而已,三刺激值和色品坐标是色度计算的基础。
到目前为止,理想的均匀色空间尚未找到,人们认为理想的均匀色空间应具有黎曼几何形式。在欧式几何空间中只能近似描述,寻找更好的均匀空间的工作仍在进行。
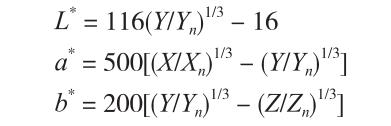
CIELab色差公式是ANLAB色差公式的简化模型。1976年被推荐替代ANLAB以提高在工业应用上的均匀性和简单性。CIELab公式以两种坐标形式给出,分别是直角坐标形式和柱坐标形式。具体如下:
1.直角坐标形式

这里,X、Y和Z是色样的三刺激值,而X0、Y0和Z0是照明光源的三刺激值。
总的色差的计算公式为:

2.柱坐标形式

其中C*定义为米制彩度,h定义为米制色调角(0度~360度)。
柱坐标形式的色差为:

柱坐标形式的色差△E与直角坐标形式的色差△E相等。
在线下单
顺丰上门取件
提交订单
上门快递