对色差进行量化是将颜色信息数值化的一种方法,这种方法会使用到相应的色差公式,如CIELab容差公式和CMC容差公式。本文对色差量化之CIELab容差公式和CMC容差公式做了简要的介绍,对色差计算式感兴趣的朋友不妨了解一下!

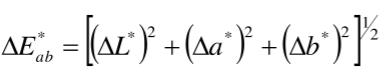
色彩容差主要是针对样品和已知标准色彩测量值的比较,这样可判断样品与标准的接近程度。CIELAB容差公式以标准为中心,然后给予个别L*a*b*数值,正负(+/-)的误差范围△L*= L*样品-L*标准(明度差异),△a*=a*样品-a*标准(红/绿差异),△b*=b*样品-b*标准(黄/蓝差异)。两个样品在色空间之内的色差△E*ab可按以下公式计算:

△E*ab等于△L*、△a*、△b*平方和的平方根。
与CIELAB色差公式用a*、b*表示颜色的红绿、黄蓝程度不同,CIELAB(L*C*H*)色差公式则是用C*、H*表示颜色的鲜艳程度与颜色在色相环上的色度角。彩度C*用a*轴与b*轴所处的平面表示,在此颜色空间上的任意一点到平面中心轴线的距离为该点的彩度值。色相角H*该点与平面中心线的连线与a*轴沿着逆时针方向上形成的夹角表示。CIELAB(L*C*H*色差公式与 CIELAB色差公式相似:

CMC容差方法,用椭圆作为视觉对色差的范围,得出结果较人眼接近,因而许多工业认为CMC对色差的表示方法比其他表示方法更精确。使用CMC公式,我们可以计算出每一个椭圆的总体积,其相当于1.0的△ECMC,当色空间的范围改变了时,关于视觉感知的椭圆尺寸也改变了,但是△ECMC仍然为1.0。△ECMC的典型写法为△ECMC(1.2),其中(2:1)是用于CMC公式中与变量(l:c)相应的值。
使用△ECMC公式,先根据产品的种类,设定公式内的l及c两个常数。一般纺织、制衣设定1:c等于2:1,塑胶、油漆、油墨等设定为1.4:1。若设定1:c等于2:1,则其△ECMC的误差范围会较1:c等于1.4:1宽松。有了l:c的值,明度比,色度以及色相便固定在CMC公式中以将它们与色彩样本的视评估相联系。实际的结果显示,有必要修正与每一位客户要求相关的(1:c)的值。△ECMC(l.c)被定义为:

在线下单
顺丰上门取件
提交订单
上门快递