色差仪以CIELab颜色空间为依托,在对样品的颜色进行测量时,会给出相应的颜色数值L、a、b、△L、△a、△b值,这些数值代表了不同的含义。那么,色差仪L、a、b、△L、△a、△b值怎么分析?本文对色差仪L、a、b、△L、△a、△b值含义做了介绍。

1.L值和△b值含义
L值代表颜色的明度(亮度)。在CIELab色彩空间中,L值的范围理论上是从0到100。当L=0时,表示绝对的黑色,即没有任何光线反射,完全吸收所有入射光;当L=100时,表示绝对的白色,意味着该物体能完全反射所有入射光。在实际应用中,大多数物体的L值处于0到100之间的某个数值。对于彩色物体,L值同样表示其明度属性,与颜色的色相和饱和度相互独立。
△L表示两个颜色在明度上的差异,即明亮程度的不同。△L=L2-L1,L2是样品色的明度值,L1是标准色的明度值。当△L为正值时,说明样品色比标准色更亮;当△L为负值时,则表示样品色比标准色更暗。
2.a值和△a值含义
a值表示颜色在红绿轴上的位置,代表颜色的红绿属性,其数值范围通常在-128到+127之间。当a=0时,表示颜色在红绿方向上处于中性,既不偏红也不偏绿;当a值为正数时,表示颜色偏向红色,数值越大,红色的成分越多、越鲜艳。另外,a值的变化也会在一定程度上影响颜色的饱和度。在保持其他参数相对稳定的情况下,a值的绝对值越大,颜色在红绿方向上的特征越突出,颜色看起来也就越饱和。
△a体现了两个颜色在红绿色度方面的差异。△a=a2-a1,a2是样品色的红绿色度值,a1是标准色的红绿色度值。△a为正值时,表明样品色比标准色更偏红;△a为负值时,意味着样品色比标准色更偏绿。在颜色调配过程中,△a是重要的参考依据。
3.b值和△b值含义
b值表示颜色在黄蓝轴上的位置,体现颜色的黄蓝属性,其数值范围一般也在-128到+127之间。当b=0时,颜色在黄蓝方向上呈中性,没有明显的黄色或蓝色倾向;当b值为正数时,颜色偏向黄色,数值越大,黄色的成分越明显。b值在描述颜色的色调和进行颜色匹配时非常关键。
△b用于衡量两个颜色在黄蓝色度上的差别。△b=b2-b1,b2是样品色的黄蓝色度值,b1是标准色的黄蓝色度值。当△b为正值时,说明样品色比标准色更偏黄;当△b为负值时,则表示样品色比标准色更偏蓝。△b可用来评估产品颜色在黄蓝方面的变化,确保产品具有良好的外观色泽。
在CIELAB颜色空间中,若以两点之间的距离来表示颜色之间的差异,则CIELAB色差公式如下所示:

式中:△E*——表示测试样板与目标样板间的色差值;△L*——表示测试样板与目标样板间的明度差;△a*——表示测试样板与目标样板间的红/绿色度差;△b*——表示测试样板与目标样板间的黄/蓝色度差。
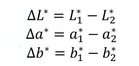
假设测试样板的编号为1,目标样板的编号为2,则测试样板与目标样板间的明度差和色度差计算公式如下:

式中:L*——表示样板的明度值;a*——表示样板的红/绿色度值;b*——表示样板的黄/蓝色度值。
通过计算,可通过明度差和色度差来分析两个颜色存在的色差。当测试样板与目标样板相比显得颜色更浅(偏白)时,明度差△L*将为正值,当测试样板与目标样板相比颜色显得更深(偏黑)时,明度差△L*将为负值。当测试样板与目标样板相比颜色显得偏红时,红/绿色度差△a*将为正值,当测试样板与目标样板相比颜色显得偏绿时,红/绿色度差△a*将为负值。当测试样板与目标样板相比颜色显得偏黄时,黄/蓝色度差△b*将为正值,当测试样板与目标样板相比颜色显得偏蓝时,黄/蓝色度差△b*将为负值。
在线下单
顺丰上门取件
提交订单
上门快递