CMC(l:c)色差公式是色差仪中比较常用的一个色差公式,是在CIELab色差公式的基础上经过修正得到的一个色差公式,其与CIELab色差公式存在一定的相关性。本文对CMC(l:c)色差公式的形式及字母符号的含义做了介绍。

CMC(l:c)色差公式是FJJ Clarke、R McDonald 和B Rigg 在JPC79色差公式的基础上经修改于1984年提出的。这次修改主要是为了克服JPC79在深色及中性色范围计算结果与目测结果偏差较大的现象。CMC(l:c)色差公式引入了明度权重函数1和彩度权重函数c,以适应不同应用的需求。此色差是在对CIE1976 L*a*b*色差公式进行修正的基础上建立起来的,由英国染色工作者学会(SDC)颜色测量委员会(CMC)推荐后得到了广泛应用。1988年英国正式采用其为国家标准(BS6923);1989年被美国纺织品染色家协会(AATCC)采用,并形成AATCC试验方法173-1989,其后又于1992年修订为AATCC试验方法173-1992,并于1995年成为纺织工业的国际标准ISO 105 J03“小色差计算”;我国纺织印染行业也采用该标准作为我国的国家标准。
CMC(l:c)色差公式在修正CIELAB色差公式的基础上,根据视觉关系调整了每个色调方向的色差椭圆大小和形状;改善了彩度差变化与明度之间的关系,使不同彩度的颜色具有不同的色差容限。非彩色区域附近的椭圆较小,彩度高的椭圆较大,色差容限与彩度的变化成正比。它引入了明度权重因子l彩度权重因子c,能够解决暗色和中性色区域的色差结果计算与人眼测量结果相差较大的问题,适应不同的色差需求。
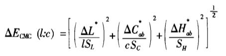
CMC(l:c)色差公式通常用于颜色质量控制检测中,以确保生产出的产品符合标准颜色。该公式引入了明度和彩度权重因子,计算出的结果比CIELAB色差公式更接近人眼对颜色的看法。其计算公式如下式所示:

式中:△L*:表示待物与标准物的明度差;
△C*ab:表示待测物与标准物的彩度差;
△H*:表示待测物与标准物的色相差;
SL、SC、SH:分别表示由标准样品其明度、彩度和色相所决定的色差校正值;
l:明度权重因子,一般取2;
c:彩度权重因子,一般取1。
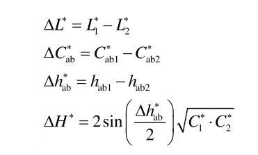
假设待测物编号为1,标准物编号为2,则待测物1与标准物2的明度差、彩度差、色相角差、色相差由下式计算所得:

式中:
L*1、L*2:分别表示待测物与标准物的明度;
C*1、C*2:分别表示待测物与标准物的彩度;
h1、h2:分别表示待测织物与标准织物的色相角。
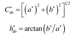
物体的彩度、色相角由下式得到:

式中:a*表示物体的红绿特征分量;b*表示物体的黄蓝特征分量。
在线下单
顺丰上门取件
提交订单
上门快递